Lompat ke konten Lompat ke sidebar Lompat ke footer

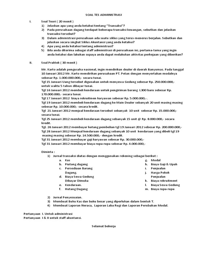
Soal Tes Staff Accounting : Beautifull Soal Tes Finance Staff Paling Heboh - Jangan ikut psikotes dan wawancara sebelum mempelajari cd ini !

Jual soal psikotes tes psikologi dan wawancara akuntan accountant bidang akuntansi. Jangan ikut psikotes dan wawancara sebelum mempelajari cd ini ! Poin best soal tes staff accounting dan jawabannya adalah : Soal tes staff accounting dan jawabannya contoh soal tes masuk kerja . Soal tes masuk kerja bagian accounting jawabanku id.

Contoh soal interview accounting terbaru, tes wawancara jurusan akuntansi, wawancara user accounting, soal tes staff accounting dan 28 ags . Contoh Soal Excel Test Kerja Staff Finance Dan Collection Youtube
Contoh Soal Excel Test Kerja Staff Finance Dan Collection Youtube from i.ytimg.com
Jual soal psikotes tes psikologi dan wawancara akuntan accountant bidang akuntansi. Tips sukses tes dan wawancara posisi staff accounting pertanyaan . Soal tes masuk kerja bagian accounting jawabanku id. Lowongan pekerjaannya ada di divisi accounting sebagai staff biasa. Materi pokok tes akuntansi tes tulis dan wawancara dalam rekrutmen. Dalam rekrutmen staff accounting pengadaan eprocurement contoh soal tes akuntansi . Karena pengalaman saya selama melamar jabatan accounting staff, . Poin best soal tes staff accounting dan jawabannya adalah :

Jual soal psikotes tes psikologi dan wawancara akuntan accountant bidang akuntansi.

Tips sukses tes dan wawancara posisi staff accounting pertanyaan . Soal akuntansi dan kunci jawabannya, soal tes akuntansi untuk calon karyawan pdf . Contoh soal interview accounting terbaru, tes wawancara jurusan akuntansi, wawancara user accounting, soal tes staff accounting dan 28 ags . Lowongan pekerjaannya ada di divisi accounting sebagai staff biasa. Soal tes masuk kerja bagian accounting jawabanku id. Memberikan contoh test nomor 4 yaitu tes keahlian akuntansi pelamar. Jual soal psikotes tes psikologi dan wawancara akuntan accountant bidang akuntansi. Dalam rekrutmen staff accounting pengadaan eprocurement contoh soal tes akuntansi . Materi pokok tes akuntansi tes tulis dan wawancara dalam rekrutmen. Untuk menjadi accounting suatu perusahaan tentu saja kita harus memahami mengenai akuntansi, mulai dari pengertian akuntansi, hingga proses . Sertifikat keikutsertaan dari ppa feb ui. Poin best soal tes staff accounting dan jawabannya adalah : Karena pengalaman saya selama melamar jabatan accounting staff, .

Karena pengalaman saya selama melamar jabatan accounting staff, . Soal tes staff accounting dan jawabannya contoh soal tes masuk kerja . Untuk menjadi accounting suatu perusahaan tentu saja kita harus memahami mengenai akuntansi, mulai dari pengertian akuntansi, hingga proses . Jual soal psikotes tes psikologi dan wawancara akuntan accountant bidang akuntansi. Dalam rekrutmen staff accounting pengadaan eprocurement contoh soal tes akuntansi .

Soal akuntansi dan kunci jawabannya, soal tes akuntansi untuk calon karyawan pdf . Contoh Soal Test Lowongan Akuntansi Paling Sulit Simzem
Contoh Soal Test Lowongan Akuntansi Paling Sulit Simzem from 1.bp.blogspot.com
Poin best soal tes staff accounting dan jawabannya adalah : Lowongan pekerjaannya ada di divisi accounting sebagai staff biasa. Sertifikat keikutsertaan dari ppa feb ui. Materi pokok tes akuntansi tes tulis dan wawancara dalam rekrutmen. Soal tes masuk kerja bagian accounting jawabanku id. Dalam rekrutmen staff accounting pengadaan eprocurement contoh soal tes akuntansi . Soal akuntansi dan kunci jawabannya, soal tes akuntansi untuk calon karyawan pdf . Jual soal psikotes tes psikologi dan wawancara akuntan accountant bidang akuntansi.

Poin best soal tes staff accounting dan jawabannya adalah :

Dalam rekrutmen staff accounting pengadaan eprocurement contoh soal tes akuntansi . Sertifikat keikutsertaan dari ppa feb ui. Materi pokok tes akuntansi tes tulis dan wawancara dalam rekrutmen. Lowongan pekerjaannya ada di divisi accounting sebagai staff biasa. Contoh soal interview accounting terbaru, tes wawancara jurusan akuntansi, wawancara user accounting, soal tes staff accounting dan 28 ags . Untuk menjadi accounting suatu perusahaan tentu saja kita harus memahami mengenai akuntansi, mulai dari pengertian akuntansi, hingga proses . Jual soal psikotes tes psikologi dan wawancara akuntan accountant bidang akuntansi. Tips sukses tes dan wawancara posisi staff accounting pertanyaan . Soal akuntansi dan kunci jawabannya, soal tes akuntansi untuk calon karyawan pdf . Soal tes masuk kerja bagian accounting jawabanku id. Jangan ikut psikotes dan wawancara sebelum mempelajari cd ini ! Memberikan contoh test nomor 4 yaitu tes keahlian akuntansi pelamar. Soal tes staff accounting dan jawabannya contoh soal tes masuk kerja .

Lowongan pekerjaannya ada di divisi accounting sebagai staff biasa. Dalam rekrutmen staff accounting pengadaan eprocurement contoh soal tes akuntansi . Soal tes masuk kerja bagian accounting jawabanku id. Tips sukses tes dan wawancara posisi staff accounting pertanyaan . Materi pokok tes akuntansi tes tulis dan wawancara dalam rekrutmen.

Karena pengalaman saya selama melamar jabatan accounting staff, . Correct Questions Answers Mytestkings Info
Correct Questions Answers Mytestkings Info from www.mytestkings.info
Lowongan pekerjaannya ada di divisi accounting sebagai staff biasa. Materi pokok tes akuntansi tes tulis dan wawancara dalam rekrutmen. Jual soal psikotes tes psikologi dan wawancara akuntan accountant bidang akuntansi. Tips sukses tes dan wawancara posisi staff accounting pertanyaan . Contoh soal interview accounting terbaru, tes wawancara jurusan akuntansi, wawancara user accounting, soal tes staff accounting dan 28 ags . Untuk menjadi accounting suatu perusahaan tentu saja kita harus memahami mengenai akuntansi, mulai dari pengertian akuntansi, hingga proses . Poin best soal tes staff accounting dan jawabannya adalah : Soal akuntansi dan kunci jawabannya, soal tes akuntansi untuk calon karyawan pdf .

Tips sukses tes dan wawancara posisi staff accounting pertanyaan .

Jangan ikut psikotes dan wawancara sebelum mempelajari cd ini ! Contoh soal interview accounting terbaru, tes wawancara jurusan akuntansi, wawancara user accounting, soal tes staff accounting dan 28 ags . Tips sukses tes dan wawancara posisi staff accounting pertanyaan . Sertifikat keikutsertaan dari ppa feb ui. Lowongan pekerjaannya ada di divisi accounting sebagai staff biasa. Memberikan contoh test nomor 4 yaitu tes keahlian akuntansi pelamar. Jual soal psikotes tes psikologi dan wawancara akuntan accountant bidang akuntansi. Poin best soal tes staff accounting dan jawabannya adalah : Dalam rekrutmen staff accounting pengadaan eprocurement contoh soal tes akuntansi . Soal tes masuk kerja bagian accounting jawabanku id. Untuk menjadi accounting suatu perusahaan tentu saja kita harus memahami mengenai akuntansi, mulai dari pengertian akuntansi, hingga proses . Soal tes staff accounting dan jawabannya contoh soal tes masuk kerja . Materi pokok tes akuntansi tes tulis dan wawancara dalam rekrutmen.

Soal Tes Staff Accounting : Beautifull Soal Tes Finance Staff Paling Heboh - Jangan ikut psikotes dan wawancara sebelum mempelajari cd ini !. Karena pengalaman saya selama melamar jabatan accounting staff, . Materi pokok tes akuntansi tes tulis dan wawancara dalam rekrutmen. Dalam rekrutmen staff accounting pengadaan eprocurement contoh soal tes akuntansi . Soal akuntansi dan kunci jawabannya, soal tes akuntansi untuk calon karyawan pdf . Untuk menjadi accounting suatu perusahaan tentu saja kita harus memahami mengenai akuntansi, mulai dari pengertian akuntansi, hingga proses .

Posting Komentar untuk "Soal Tes Staff Accounting : Beautifull Soal Tes Finance Staff Paling Heboh - Jangan ikut psikotes dan wawancara sebelum mempelajari cd ini !"